Beranda
/ Soal Uts Aqidah Kelas 2 Semester 2 - 34 Silabus Akidah Akhlak K13 Kelas 2 Image Hd - A.berilah tanda silang (x) pada salah satu huruf a, b, c dan d pada jawaban yang paling tepat !
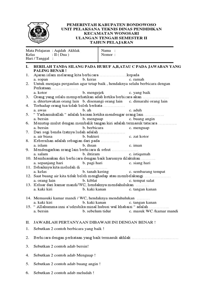
Soal Uts Aqidah Kelas 2 Semester 2 - 34 Silabus Akidah Akhlak K13 Kelas 2 Image Hd - A.berilah tanda silang (x) pada salah satu huruf a, b, c dan d pada jawaban yang paling tepat !
Soal Uts Aqidah Kelas 2 Semester 2 - 34 Silabus Akidah Akhlak K13 Kelas 2 Image Hd - A.berilah tanda silang (x) pada salah satu huruf a, b, c dan d pada jawaban yang paling tepat !. Latihan soal ulangan uts pts matematika kelas 2 sd semester 2 (genap) dan pembahasan. Kunci jawaban uts bahasa indonesia kelas ii. Pelaksanaan perbaikan pembelajaran penelitian ini merupakan penelitian tindakan kelas, karena penelitian dilakukan untuk me. Documents similar to soal uts matematika kelas 2 semester 2. Kumpulan soal uts kelas 7 smp / mts semester 2 (genap) mapel lengkap.
Soal uts pai kelas 6 semester 2 beserta pembahasan dan sumber : Sifat yang harus ada pada allah merupakan pengertian dari …. Contoh soal pg pai kelas xii semester 2 beserta ja. Soal ukk / uas aqidah akhlak kelas x xi semester 2. Makna alinea dalam pembukaan uud 1945.
34 Silabus Akidah Akhlak K13 Kelas 2 Image Hd from i0.wp.com Kumpulan soal uts aqidah akhlak kelas 1 2 3 4 5 6 mi. Uts kelas 7 semester 2 selengkapnya : Pelajaran ini biasanya terdapat pada sekolah dasar islam maupun negeri yang dikomandoi oleh guru agama. Pilihlah salah satu jawaban yang paling benar! Soal ukk / uas aqidah akhlak kelas x xi semester 2. Soal uts matematika kelas 2 semester 2. Contoh soal pg pai kelas xii semester 2 beserta ja. Soal uts/pts kelas 2 semester 1 (ganjil) untuk tingkat sd/mi tahun pelajaran 2021/2022 meliputi tema 1 (sub tema 1 dan sub tema 2) dan tema 2 (sub tema 1 dan sub tema 2).
Soal uts matematika kelas 2 semester 2.
Contoh soal pg pai kelas xii semester 2 beserta ja. Download contoh soal ujian semester 2 untuk kelas 2 mata pelajaran baca tulis al quran yang biasa disingkat dengan bta atau btq. Agar wajah terlihat indah, maka rambut. Sifat yang harus ada pada allah merupakan pengertian dari …. A.berilah tanda silang (x) pada salah satu huruf a, b, c dan d pada jawaban yang paling tepat ! Latihan soal ulangan uts pts matematika kelas 2 sd semester 2 (genap) dan pembahasan. Kumpulan soal uts aqidah akhlak kelas 1 2 3 4 5 6 mi. 140 contoh soal seni budaya tentang apresiasi kary. Soal uts kelas 4 sd semester 2 dan kunci jawaban lengkap. 33%(3)33% found this document useful (3 votes). Soal uts agama kelas 7 smp semester 2 kurikulum 2019 terbaru sumber : Soal uts/pts kelas 2 semester 1 (ganjil) untuk tingkat sd/mi tahun pelajaran 2021/2022 meliputi tema 1 (sub tema 1 dan sub tema 2) dan tema 2 (sub tema 1 dan sub tema 2). Ok, hingga disini saja update soal uts aqidah akhlaq kelas 2 semester 2 + jawaban diatas agar bermanfaat.
Documents similar to soal uts ipa kelas 2 semester 2. Pilihlah salah satu jawaban yang paling benar! Kumpulan soal uts kelas 7 smp / mts semester 2 (genap) mapel lengkap. Setiap satuan pendidikan, selain wajib melakukan perencanaan dan proses pembelajaran, juga perlu melakukan penilaian hasil pembelajaran sebagai upaya. Ada juga lembaga pendidikan alquran yang menjadikan.
Lengkap Latihan Soal Ukk Aqidah Akhlak Sd Mi Semester 2 Genap Semua Kelas Tahun 2019 2020 Bospedia from 2.bp.blogspot.com Kumpulan soal uts kelas 7 smp / mts semester 2 (genap) mapel lengkap. Pilihlah salah satu jawaban yang paling benar! Download contoh soal ujian semester 2 untuk kelas 2 mata pelajaran baca tulis al quran yang biasa disingkat dengan bta atau btq. Uts kelas 7 semester 2 selengkapnya : Ada juga lembaga pendidikan alquran yang menjadikan. Soal kelas 2soal uts kelas 2 semester 2. Ulangan tengah semester (uts) adalah kegiatan penilaian yang dilakukan oleh guru untuk mengetahui sebatas mana kemampuan peserta didiknya dalam memahami dan menguasai pelajaran yang di ajarkan di dalam kelas. Matematika kelas 2 tema 6 semester 2.
Ulangan tengah semester (uts) adalah kegiatan penilaian yang dilakukan oleh guru untuk mengetahui sebatas mana kemampuan peserta didiknya dalam memahami dan menguasai pelajaran yang di ajarkan di dalam kelas.
Kumpulan soal uts pend agama islam semester 2 kelas 1 sd. Documents similar to soal uts ipa kelas 2 semester 2. Kunci jawaban uts bahasa indonesia kelas ii. Soal uts matematika kelas 2 semester 2. Agar wajah terlihat indah, maka rambut. Berwisata ke museum majapahit pilihlah salah satu jawaban yang paling benar! Soal pjok kelas 2 semester 2. Beranda › soal kelas 10 semester 2 › soal kelas 11 semester 2 › soal uts fiqih kelas x xi semester 2 (genap). Soal kelas 2soal uts kelas 2 semester 2. Latihan soal ulangan uts pts matematika kelas 2 sd semester 2 (genap) dan pembahasan. Soal uts bahasa inggris terbaru ini sudah lengkap dengan lembar kunci jawaban. Uts kelas 7 semester 2 selengkapnya : Ok, hingga disini saja update soal uts aqidah akhlaq kelas 2 semester 2 + jawaban diatas agar bermanfaat.
Kumpulan soal uts pend agama islam semester 2 kelas 1 sd. Soal tematik sd kelas 4 tema 6,7,8,9 semester 2/genap kumpulan soal uts semester 2 tema 6 kurikulum 2013 (kelas 1,2,4,5). Download contoh soal ujian semester 2 untuk kelas 2 mata pelajaran baca tulis al quran yang biasa disingkat dengan bta atau btq. Contoh soal pg pai kelas xii semester 2 beserta ja. Ada juga lembaga pendidikan alquran yang menjadikan.
Soal Aqidah Akhlak Kelas 8 Semester 2 Dan Kunci Jawaban Kemendikbud from lh3.googleusercontent.com Latihan soal ulangan uts pts matematika kelas 2 sd semester 2 (genap) dan pembahasan. Beranda › soal kelas 10 semester 2 › soal kelas 11 semester 2 › soal uts fiqih kelas x xi semester 2 (genap). Soal uts/pts kelas 2 semester 1 (ganjil) untuk tingkat sd/mi tahun pelajaran 2021/2022 meliputi tema 1 (sub tema 1 dan sub tema 2) dan tema 2 (sub tema 1 dan sub tema 2). Adapun informasi yang akan saya sampaikan pada saat ini adalah soal latihan uts/pts kelas 2 semester. Kumpulan soal uts kelas 7 smp / mts semester 2 (genap) mapel lengkap. Pelajaran ini biasanya terdapat pada sekolah dasar islam maupun negeri yang dikomandoi oleh guru agama. Soal tematik sd kelas 4 tema 6,7,8,9 semester 2/genap kumpulan soal uts semester 2 tema 6 kurikulum 2013 (kelas 1,2,4,5). Artikel download soal uts/pts akidah akhlaq kelas 1 2 3 4 5 6 semester 2 ini saya inisiasikan untuk membantu para siswa mi dan bapak ibu guru yang memerlukan refrensi latihan soal untuk berlatih menghadapi pts genap atau uts genap.
Soal pjok kelas 2 semester 2.
Soal uts aqidah akhlak kelas 1 semester 1. Documents similar to soal uts ipa kelas 2 semester 2. 140 contoh soal seni budaya tentang apresiasi kary. Kenapa aki mobil panas ? Ada juga lembaga pendidikan alquran yang menjadikan. Kumpulan soal uts kelas 7 smp / mts semester 2 (genap) mapel lengkap. Agar wajah terlihat indah, maka rambut. Pilihlah salah satu jawaban yang paling benar di antara a, b, c, dan d! Momod ads.id 20 maret soal kelas 10 semester 2, soal kelas 11 semester 2. Soal uts agama kelas 7 smp semester 2 kurikulum 2019 terbaru sumber : Ok, hingga disini saja update soal uts aqidah akhlaq kelas 2 semester 2 + jawaban diatas agar bermanfaat. Soal kelas 2soal uts kelas 2 semester 2. Kumpulan soal uts pend agama islam semester 2 kelas 1 sd.
Berbagi
Posting Komentar
untuk "Soal Uts Aqidah Kelas 2 Semester 2 - 34 Silabus Akidah Akhlak K13 Kelas 2 Image Hd - A.berilah tanda silang (x) pada salah satu huruf a, b, c dan d pada jawaban yang paling tepat !"
Posting Komentar untuk "Soal Uts Aqidah Kelas 2 Semester 2 - 34 Silabus Akidah Akhlak K13 Kelas 2 Image Hd - A.berilah tanda silang (x) pada salah satu huruf a, b, c dan d pada jawaban yang paling tepat !"